Página anterior.

1.    a)  De los siguientes números, indica cuáles de ellos son naturales, enteros, racionales y reales:

       b)  Representa sobre la recta los números:

 

2.    a)  Expresa en forma decimal:

       b)  Pasa a forma de fracción irreducible los números:

 

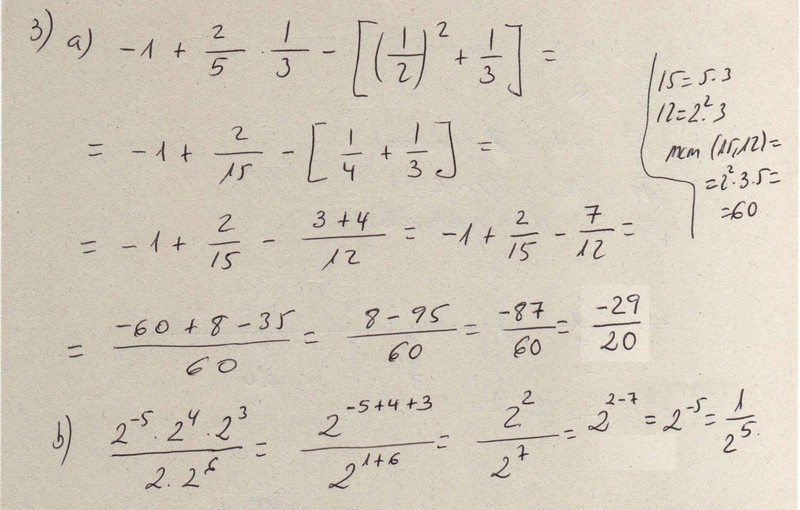
3.   a)  Calcula y simplifica el resultado:    
  b)  Reduce a una sola potencia:

 

 

4. Un trabajador ha realizado las  2/7  partes de un encargo; otro realizó  2/5  partes, y un tercero lo terminó. Si les pagan en total  1008 €, ¿cuánto le corresponderá a cada uno?

 

5. Un producto costaba, sin IVA,  39,52 €,  y lo han rebajado un  15%.  Sabiendo que el IVA es del  8%,  ¿cuál será su precio final con IVA?

 

6. La recaudación en una tienda durante la primera quincena de julio fue de  1200 €;  en la segunda quincena recaudaron un  18%  más que en la primera; en la primera de agosto la recaudación descendió un  5%  con respecto a la quincena anterior y en la segunda aumentó un  5%  respecto a la primera. ¿Cuánto dinero recaudaron en la segunda quincena de agosto?

 

7. Halla  la  suma  de los quince  primeros  términos  de una progresión aritmética en la que

    a5 = 9,7  y  a9 = 17,7.

 

8. En una progresión geométrica de razón positiva, sabemos que  a2 = 10  y  a4 = 40. Calcula la razón y la suma de los  9  primeros términos.

 

9. Una ciudad tiene una población de  180000  habitantes, y crece a un ritmo del  4%  anual. ¿Cuántos habitantes tendrá al cabo de  5  años? ¿y al cabo de  10  años?

 

10. ¿En cuánto se convierten  1500 € colocados al  3,5% de interés anual compuesto durante  3  años? ¿Y durante  5  años?

 

Página anterior.