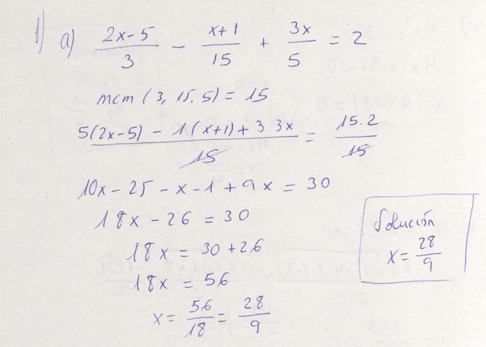
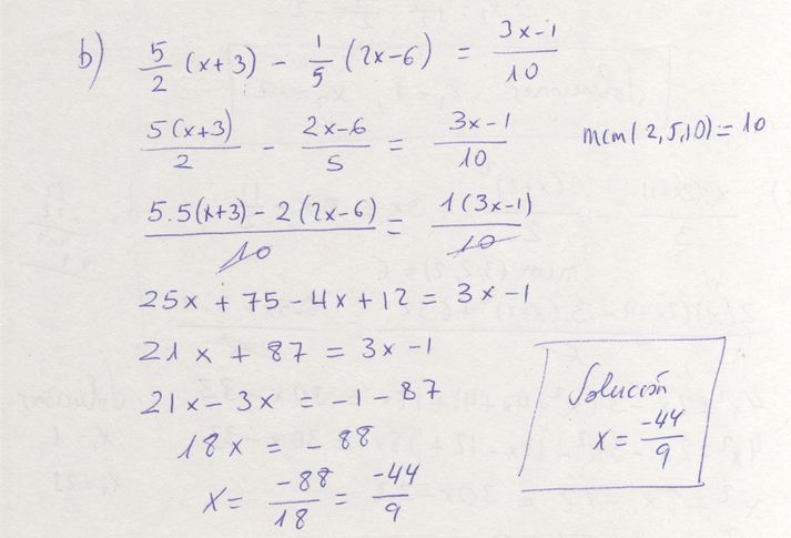
1. Resuelve las ecuaciones siguientes:



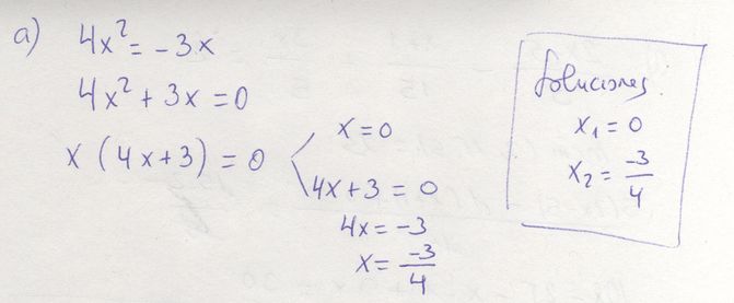
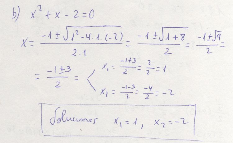
2. Resuelve estas ecuaciones:
a) 4 x2 = - 3 x
b) x2 + x - 2 = 0
|
c) |
|
3. Si a la mitad de un número le restas su tercera parte, y, a este resultado, le sumas 85/2, obtienes el triple del número inicial. ¿De qué número se trata?
4. Se mezclan 30 kg de café de 2 €/kg con 50 kg de café de otra clase, obteniendo una mezcla que sale a 2,60 €/kg. ¿Cuál es el precio de la segunda clase de café?
5. Al multiplicar un número entero por el resultado de aumentar su doble en 3 unidades, obtenemos 35. ¿De qué número se trata?