1. Representa gráficamente estas rectas: (3 puntos)
![]()

b) 2 x + 2 y + 1 = 0

c) x = 3

2. Obtén, de forma razonada, la pendiente de cada una de estas rectas: (2 puntos)
a)


b) 2x + 3y = 4

![]()

d)


3. Halla la ecuación de cada una de las siguientes rectas: (3 puntos)
a) Tiene pendiente -2 y corta al eje Y en el punto (0, 3).

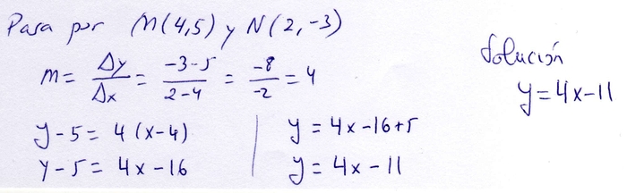
b) Pasa por los puntos M(4, 5) y N(2, -3).

4. En una bañera hay 270 litros de agua. Al quitar el tapón, se vacía a una velocidad constante de 30 l/min.
a) ¿Cuánto tiempo tarda en vaciarse?
b) Obtén la ecuación de la función que nos da la cantidad de agua que queda en la bañera (en litros), según el tiempo transcurrido (en minutos).
c) Representa gráficamente la función y di cuál es su dominio.
