Página anterior.

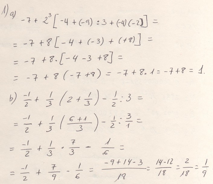
1. Calcula y simplifica:

a)

-7 + 23[-4 + (-9) : 3 + (-4) · (-2)]

b)

 

 

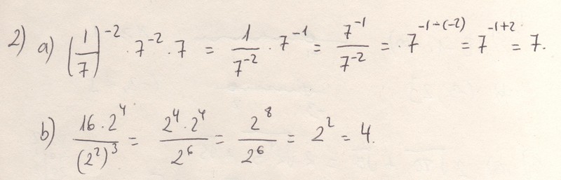
2. Reduce y calcula, utilizando las propiedades de las potencias:

 

 

3. a)  Aproxima cada una de las siguientes cantidades, dando dos cifras significativas:

   I)  Hay 1 562 estudiantes en un instituto.

  II)  Victoria pesa 58,48 kg.

    b)  Halla el error absoluto y el error relativo cometidos al hacer las aproximaciones.

 

4. a)  Expresa en notación científica cada una de estas cantidades:

     M = 0,000000035126          N = 2836 · 1023

    b)  Escribe en forma decimal los siguientes números dados en notación científica:

     A = 3,87 · 109                B = 2,3 · 10-6

 

5.  I)  Escribe en forma de intervalo y representa:

    II)  Escribe en forma de desigualdad y representa:

 

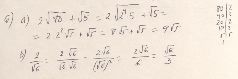
6.

 

7. Hemos dividido un viaje de 180 km en tres etapas; en la primera de ellas recorremos

¿Qué fracción del total supone la tercera etapa? ¿Cuántos kilómetros tiene la tercera etapa?

 

 

8. Victoria, Mercedes y José Carlos han cobrado 1500 € por un trabajo. Sabiendo que Victoria trabajó 12 días, Mercedes 8 días y José Carlos 10 días, ¿cuánto le corresponderá a cada uno?

 

 

9. Se mezclan 7,5 l de aceite de girasol, de 1,60 €/l, con 15 l de aceite de oliva, de 3,40 €/l. ¿A cuánto sale el litro de mezcla?

Página anterior.