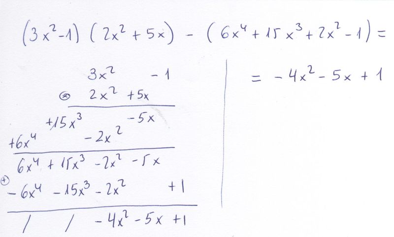
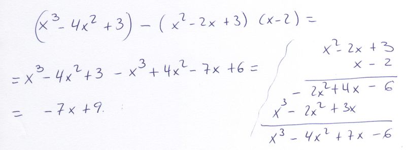
1. Efectúa estas operaciones y simplifica el resultado:
a) (3x 2 - 1) (2x 2 + 5x) - (6x4 + 15x3 + 2x 2 - 1)

b) (x3 - 4x2 + 3) - (x 2 - 2x + 3) (x - 2)

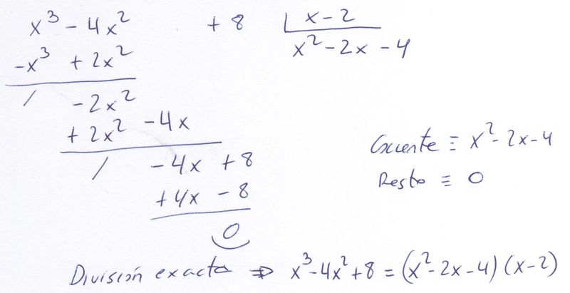
2. Halla el cociente y el resto de las divisiones:
|
a) |
|

b) ( x3 – 4x2 + 8 ) : ( x – 2 )

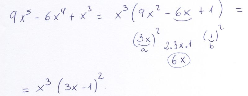
3. Factoriza estos polinomios con ayuda de las identidades notables y sacando factor común:
a) 9x5 – 6x4 + x3

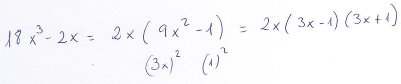
b) 18x3 – 2x

|
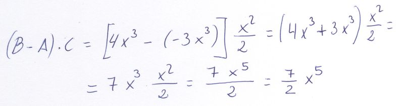
4. |
|
|
|
a) (B - A) · C
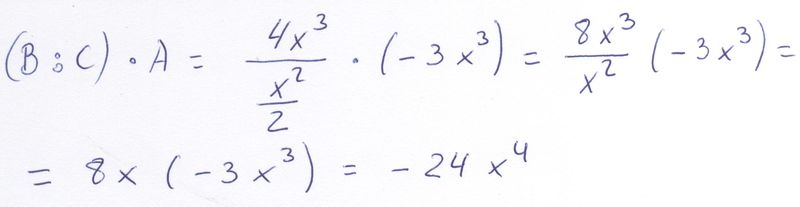
b) (B : C ) · A
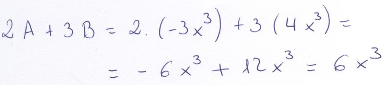
c) 2 A + 3 B
|
|
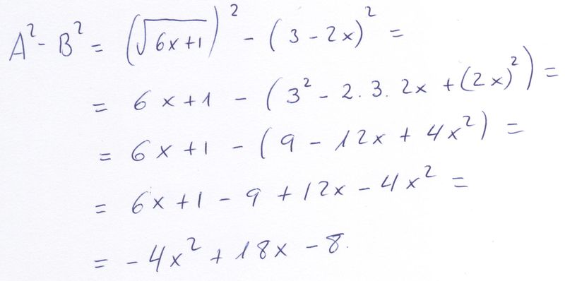
5. |
|
