Página anterior.

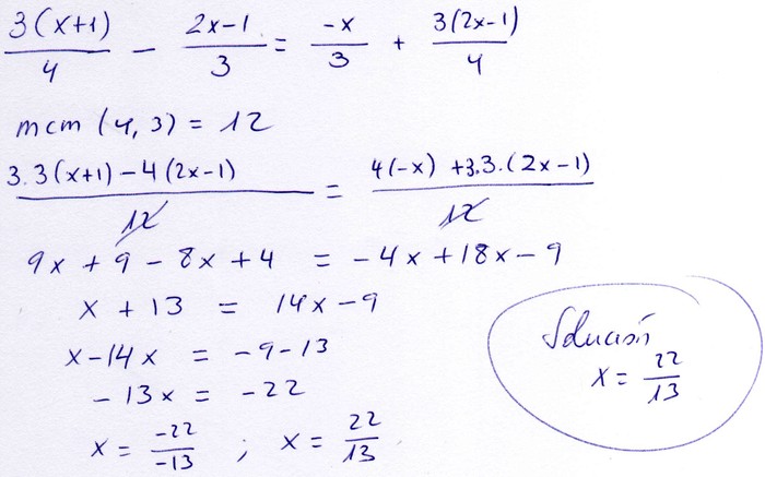
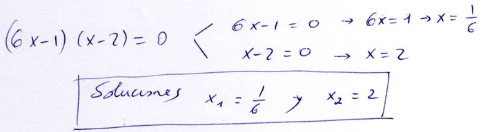
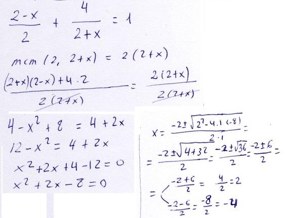
1. Resuelve las siguientes ecuaciones: 

 

( 6 x - 1 )  ( x - 2 ) = 0

 

 

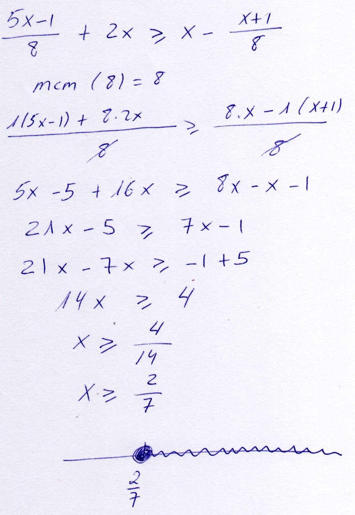
Resuelve la siguiente inecuación:

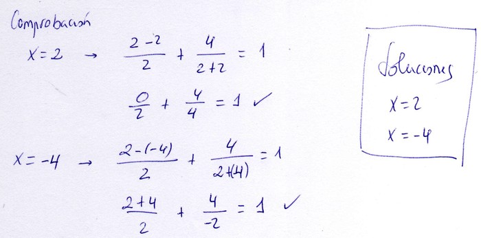
Resuelve el siguiente sistema de inecuaciones:

Página anterior.