1. a) Representa en los mismos ejes las rectas siguientes:

b ¿Cuántas soluciones tiene el sistema anterior? ¿Cuáles son?

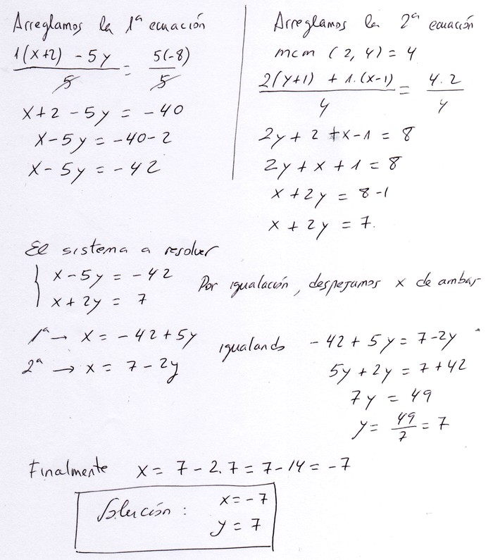
2. Resuelve por igualación:


3. Resuelve este sistema:


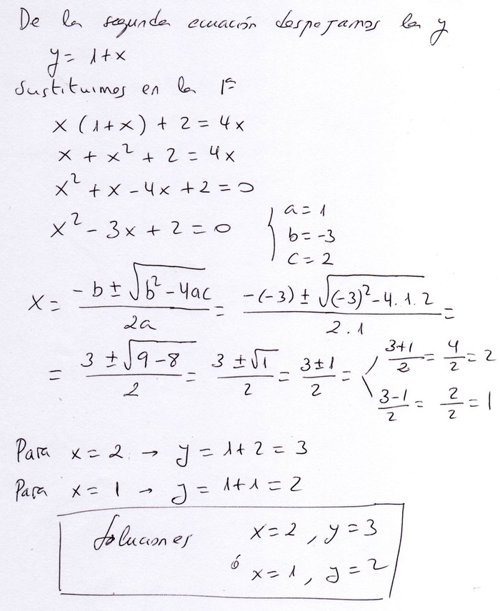
4. Resuelve el siguiente sistema:


5. Resuelve el sistema de ecuaciones:

