Ejercicio nº 1.-
La siguiente gráfica corresponde a la función f(x).
Sobre ella, calcula los límites:

![]()
![]()
![]()
![]()
![]()
Solución:
![]()
![]()
![]()
![]()
![]()
Ejercicio nº 2.-
Representa gráficamente los siguientes resultados:
![]()
![]()
Solución:
a)

b)

Ejercicio nº 3.-
![]()
![]()
![]()
Solución:
![]()
![]()
![]()
Ejercicio nº 4.-
![]()
Solución:
![]()
|
|
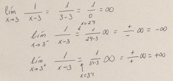
Ejercicio nº 5.-
![]()
Solución:
![]()
Calculamos los límites laterales:
![]()

Ejercicio nº 6.-
![]()
![]()
Solución:
![]()

![]()

Ejercicio nº 7.-
![]()
y representa los resultados que obtengas:
![]()
Solución:



Ejercicio nº 8.-

Solución:
• En x = 0,
sí es continua.
• En x =
3 es discontinua porque no está
definida, ni tiene límite finito. Tiene una rama infinita en ese punto (una
asíntota vertical).
Ejercicio nº 9.-
![]()
Solución:
• Si x ¹ 2, la función es continua.
• Si x = 2:

Ejercicio nº 10.-
Halla las asíntotas verticales de la siguiente función
y sitúa la curva respecto a ellas:
![]()
Solución:
![]()
Solo tiene
una
posible asíntota vertical:
x = -2
|
|
![]() |
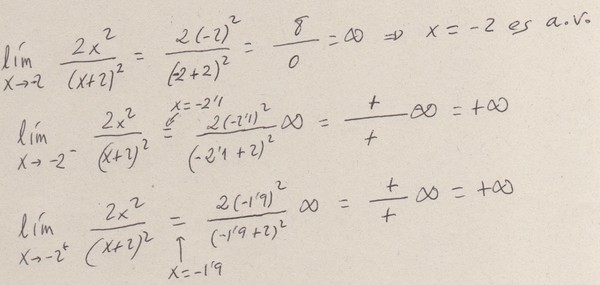
Ejercicio nº 11.-
![]()
situa la curva respecto a ellas:
![]()
Solución:

|
|
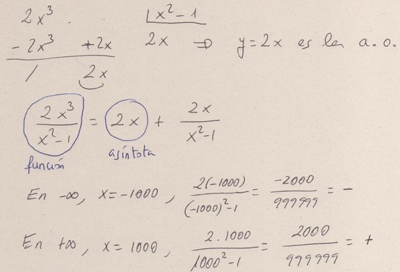
Ejercicio nº 12.-
Halla la asíntota oblicua de la siguiente función y
representa la posición de la curva respecto a ella:
![]()
Solución:
grd(num) - grd(den) = 3 - 2 = 1, luego la función tiene asíntota oblícua.
|
|
Representación:
|