Calcula la derivada de las siguientes funciones:

 

 

 

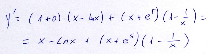
2.     y = ( x  +  e5  ) ( x  –  Ln x )

 

 

 

 

 

 

 

 

 

6.    y = x5  log x

 

 

7.    y = 3 x3  –  3x  tg x

 

 

 

 

 

 

 

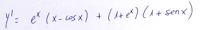
10.  y = ( 1 + ex  ) ( x – cos x )