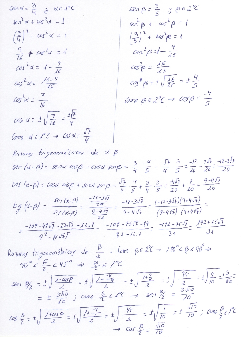
| 1. | Si |
|
siendo α un ángulo del primer cuadrante y β del segundo cuadrante. |
| 1. | Calcula, de forma razonada, las razones trigonométricas de α - β y |
|


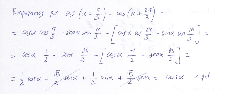
| 2. | Demuestra la siguiente igualdad, | ![]() |

| 3.1. | Resuelve la ecuación |
| 3.2. | Demuestra que |
![]() |

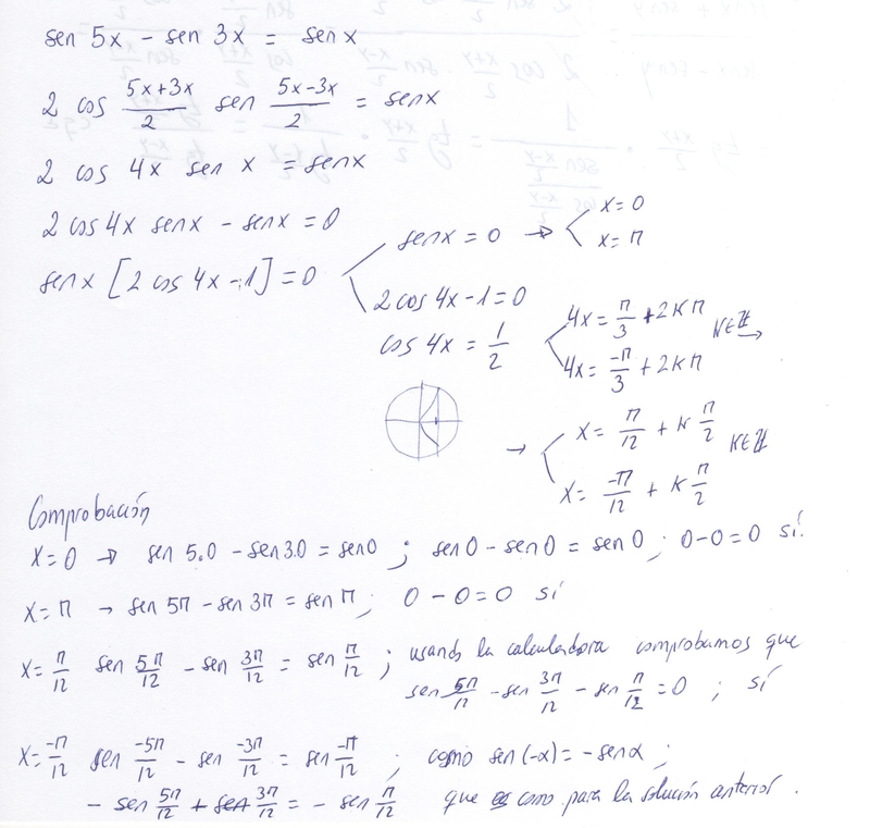
4.1 Resuelve la ecuación sen 5 x − sen 3 x = sen x


| 4.2. | Demuestra que |
![]() |