|
1) Dados los vectores |
|
Calcula: |
a.
![]()
b.

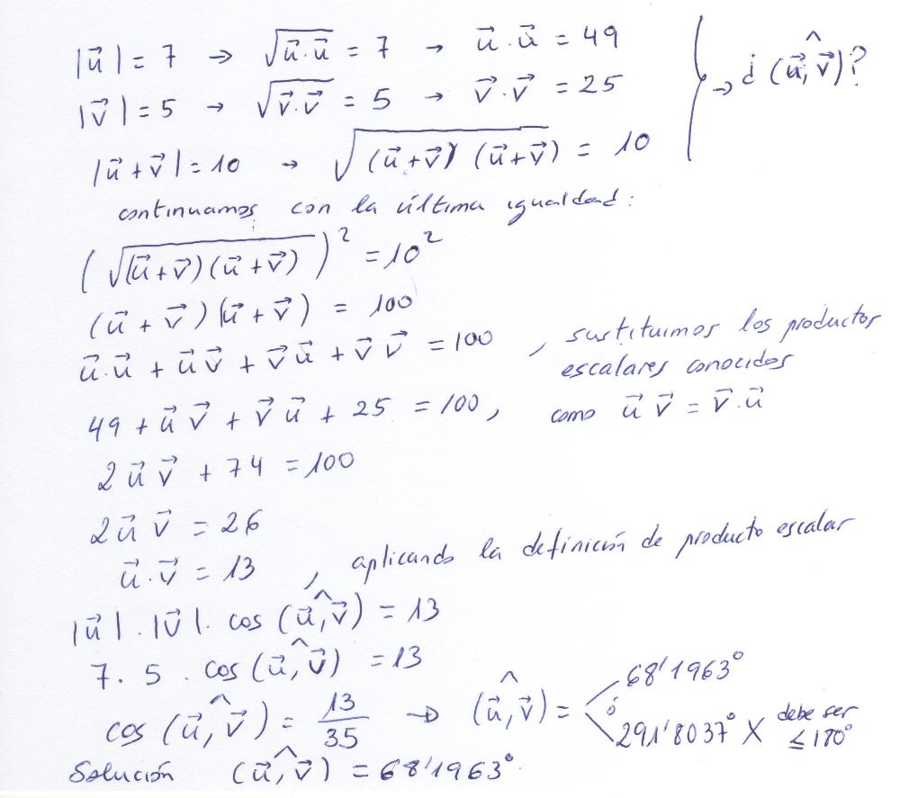
c.

2) El triángulo ABC es equilátero y su lado mide 6 cm. M, N y P son los puntos medios de los lados ( M = PMAB , N = PMBC y P = PMAC ). Calcula los siguientes productos:
a.
![]()
b.
![]()
c.
![]()
3) Halla el ángulo que forman los siguientes pares de vectores. Haz la representación gráfica.
a.
![]()
b.
![]()
|
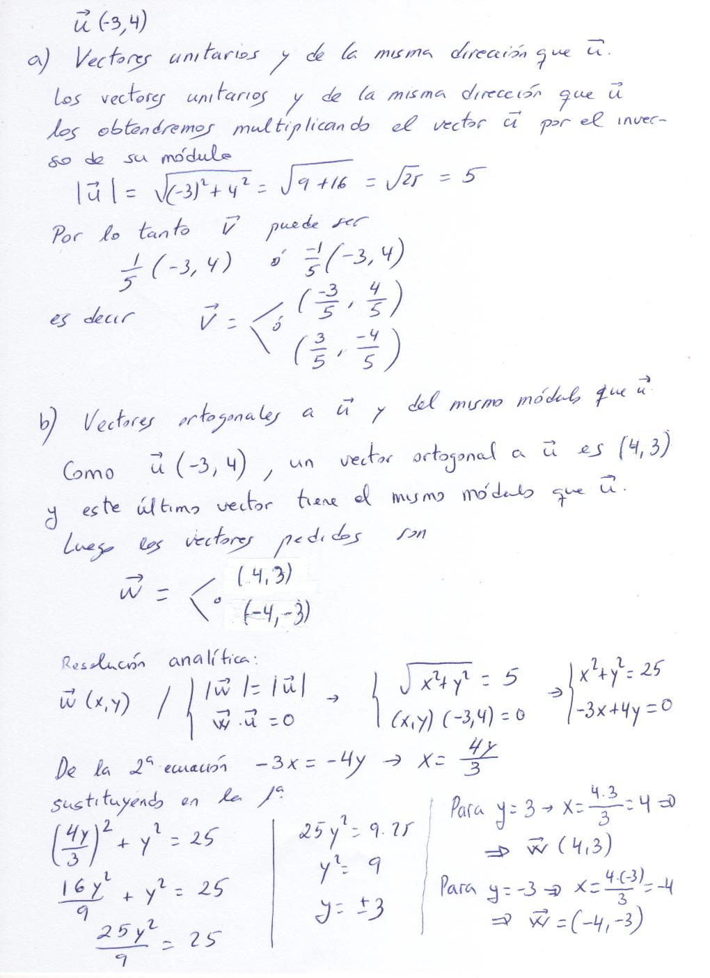
4) Dado el vector |
|
, calcula las coordenadas de los siguientes vectores: |
a.
,
unitarios y de la misma dirección que
.
b.
,
ortogonales a
y
del mismo módulo que
.


|
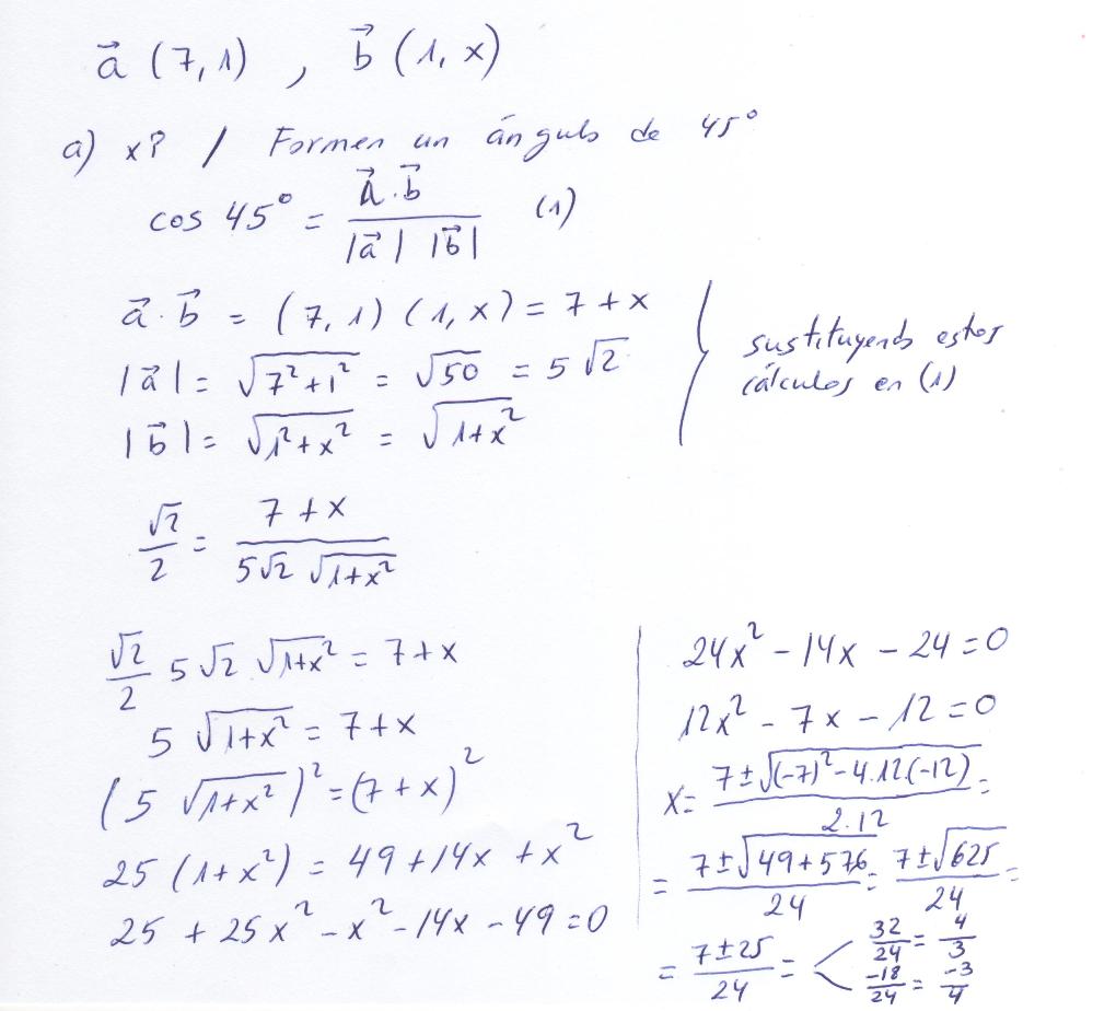
5) Dados los vectores |
|
, calcula el valor de x para que: |
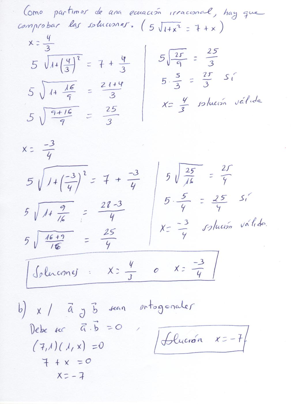
a. Formen un ángulo de 45º.
b. Sean ortogonales.
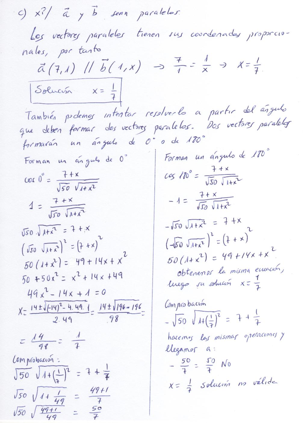
c. Sean paralelos.




6)
Si
,
¿qué ángulo forman
y
?
