1. Calcula los siguientes límites:


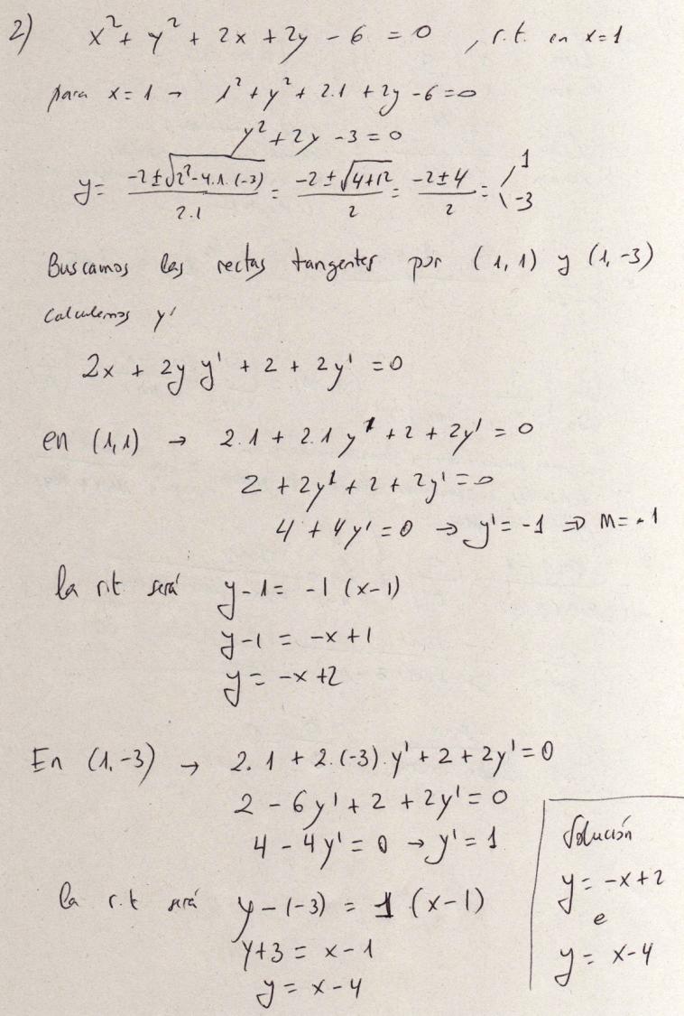
2. Halla las rectas tangentes a la circunferencia: x2 + y2 + 2x + 2y - 6 = 0 en x0 = 1

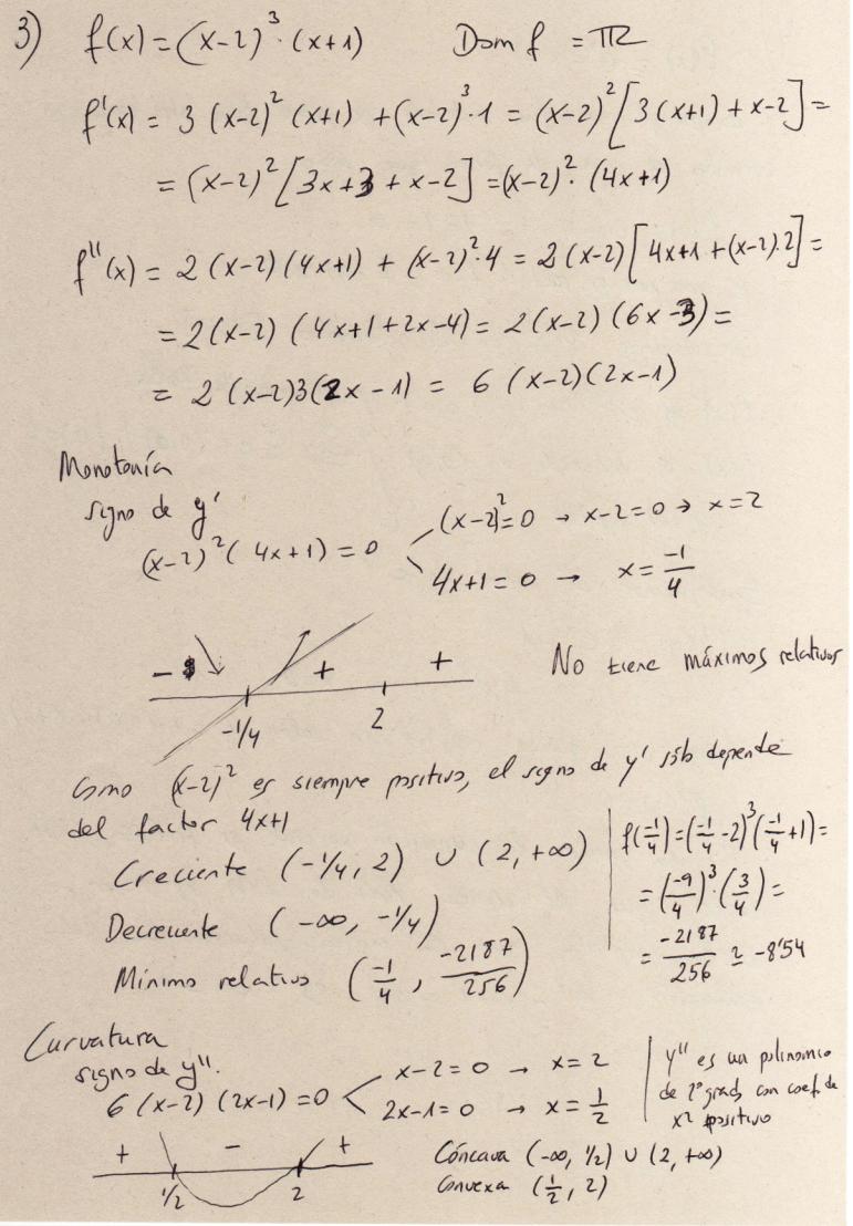
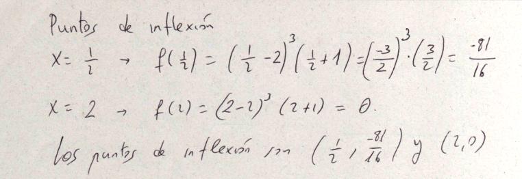
3. Halla los máximos, mínimos y puntos de inflexión de la función: f (x) = (x - 2)3 (x + 1). Di dónde es creciente, decreciente, cóncava y convexa.


4. Demuestra que la única solución de la ecuación ex – x – 1 = 0 es x = 0.

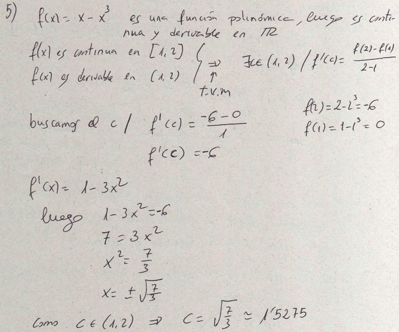
5. Comprueba que y = x – x3 cumple las hipótesis del teorema del valor medio en el intervalo [ 2 , 1 ]. ¿Dónde cumple la tesis?

6. El lado de un cuadrado tiene una longitud de 4 metros. Entre todos los cuadrados inscritos en el cuadrado dado, halla el de área mínima.

7. La función f (x) = a x6 + b x5 + c x4 + 2 cumple que f (1) = 3, f ¢(1) = 0 y no tiene extremo relativo en x = 1. Plantea el sistema para calcular los valores de a, b y c.
